功能:
• 电压源、电流源、电压表、电流表四合一新型仪器,适用于快速直流测试
• 可选高电压型 (1100V)、大电流型 (3A) 或大电流脉冲型 (10A) 电源/测量
• 最大功率:20W (2400 和 2410),60W (2420),100W (2430 直流模式),1kW (2430 脉冲模式) • 五位半电表, 0.012%准确度
• 可作六线式奥姆测量
• 程控电流/电压,并可设定箝制准位
• 最快速度可达 1000 点/秒(GPIB 接口)
• 内建快速「通过/失效」比较器,适用于自动化质量管理
• 数字 I/O 可直接与其它仪器沟通
• IEEE-488 和 RS-232 界面
• 除量测电压、电流外,并可直接量测电阻、功率、百分率、补偿电阻(Offset Compensated Ω)、变阻器α值(Varistor α)、电压系数(Voltage Coefficient)
面板简介:

屏幕显示:如图 2-1 所示,屏幕左上方所显示为「量测值」,右上方为「输出开/关」显示, 左下方为「电源输出值」,右下方为「箝位值」显示。

Power:电源开关
MEAS 选择键:选择所欲量测的讯号
(1) V 量测电压
(2) I 量测电流
(3) Ω 量测电阻
(4) FCTN 量测功率 , 补偿电阻 ,电压系数 , 变电阻 ALPHA 值 ,百分率 (初 始设定为功率)
SOURCE 选择键:选择电源输出型式
(1) V 输出电压
(2) I 输出电流
(3)▲和▼ 增加或减少输出值或箝位值 (Cmpl)
操作键:
(1) EDIT 选择设定电源输出值或箝位值
(2) TOGGLE 切换输出值与量测值位置
(3) LOCAL 取消远程计算机控制,回到仪器面板控制
(4) REL 开启/取消参考数值比较
(5) FILTER 开启/取消数字滤波
(6) LIMIT 开启/取消限制值测试
(7) TRIG 从面板触发开始量测
(8) SWEEP 开始输出设定好的扫瞄电压或电流
(9) DIGITS 改变量测显示数字
(10) SPEED 改变量测速度及精准度
(11) STORE 设定记忆数量并开始储存
(12) RECALL 显示储存的量测数值
(13) CONFIG 设定 (加上其它按键,如 CONFIG + SWEEP 可设定扫瞄输出)
(14) MENU 进入可储存设定值,更改通讯方式(IEEE-488 or RS232),或校正
(15) EXIT 跳出 (16) ENTER 确认
RANGE:范围选择
(1) ▲ 更改为较大的范围
(2) ▼ 更改为较小的范围
(3) AUTO 自动切换至最佳范围
OUTPUT:
(1) ON/OFF 开启/取消电源输出
操作入门
A.输出电压,量测电流
1.接线如图 3-1。
2.按 SOURCE V ,设定输出电压(由”EDIT” 左、右键来更改光标位置,并经由 ”SOURCE” ▲ , ▼ 及各数字键来设定数值)。
3.按 MEAS I(量测电流)。
4.按 OUTPUT ON/OFF 输出。(灯亮代表输出) ※若单纯量测电流,可将电压设为 0V 做电流表用。
5.自面板读取量测值

B.输出电流,量测电压
1. 接线如图 3-1。
2.按 SOURCE I ,设定输出电流(由”EDIT” 左、右键来更改光标位置,并经由 ”SOURCE” ▲ , ▼ 及各数字键来设定数值)
3.按 MEAS V(量测电压)
4.按 OUTPUT ON/OFF 输出。(灯亮代表输出)
※若单纯量测电压,可将电流设为 0A 做电压表用。
5.自面板读取量测值。
C.量测电阻
1.做两线式量测接线如图 3-1;若做四线式量测接线如图 3-2。
2.先按「CONFIG」再按「Ω」,做电阻量测设定,进入「SENSE-MODE」,选择两线式量 测或四线式量测。
3.按 SOURCE I。
4.按 MEAS Ω。
5.按 OUTPUT ON/OFF 输出电源。
6.自面板读取量测值

C.量测功率
1. 接线如图 3-1。
2.先按「CONFIG」,然后按「FCTN」,选择「POWER」然后按「ENTER」
3.按 SOURCE I 或 V。
4.按 MEAS 「FCTN」。
5.按 OUTPUT ON/OFF 输出电源。
6.自面板读取量测值。
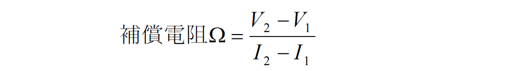
补偿电阻(Offset Compensated Ω)
1. 接线如图 3-1。
2.先按「CONFIG」,然后按「FCTN」,选择「OFF-COMP-OHMS」然后按「ENTER」。
3.设定 I1,I2。
4.按 SOURCE I。
5 按「FCTN」。
6.按 OUTPUT ON/OFF 输出电源。
7.自面板读取量测值。
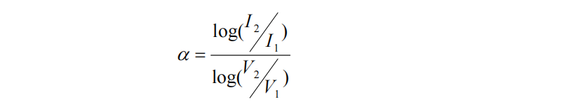
D.量测变阻器α值(Varistor α)

1.接线如图 3-1。
2.先按「CONFIG」,然后按「FCTN」,选择「VAR-ALPHA」然后按「ENTER」。
3. 设定 I1,I2。
4.按 SOURCE I。
5.按「FCTN」。
6.按 OUTPUT ON/OFF 输出电源。
7.自面板读取量测值
功能:
• 电压源、电流源、电压表、电流表四合一新型仪器,适用于快速直流测试
• 可选高电压型 (1100V)、大电流型 (3A) 或大电流脉冲型 (10A) 电源/测量
• 最大功率:20W (2400 和 2410),60W (2420),100W (2430 直流模式),1kW (2430 脉冲模式) • 五位半电表, 0.012%准确度
• 可作六线式奥姆测量
• 程控电流/电压,并可设定箝制准位
• 最快速度可达 1000 点/秒(GPIB 接口)
• 内建快速「通过/失效」比较器,适用于自动化质量管理
• 数字 I/O 可直接与其它仪器沟通
• IEEE-488 和 RS-232 界面
• 除量测电压、电流外,并可直接量测电阻、功率、百分率、补偿电阻(Offset Compensated Ω)、变阻器α值(Varistor α)、电压系数(Voltage Coefficient)
面板简介:

屏幕显示:如图 2-1 所示,屏幕左上方所显示为「量测值」,右上方为「输出开/关」显示, 左下方为「电源输出值」,右下方为「箝位值」显示。

Power:电源开关
MEAS 选择键:选择所欲量测的讯号
(1) V 量测电压
(2) I 量测电流
(3) Ω 量测电阻
(4) FCTN 量测功率 , 补偿电阻 ,电压系数 , 变电阻 ALPHA 值 ,百分率 (初 始设定为功率)
SOURCE 选择键:选择电源输出型式
(1) V 输出电压
(2) I 输出电流
(3)▲和▼ 增加或减少输出值或箝位值 (Cmpl)
操作键:
(1) EDIT 选择设定电源输出值或箝位值
(2) TOGGLE 切换输出值与量测值位置
(3) LOCAL 取消远程计算机控制,回到仪器面板控制
(4) REL 开启/取消参考数值比较
(5) FILTER 开启/取消数字滤波
(6) LIMIT 开启/取消限制值测试
(7) TRIG 从面板触发开始量测
(8) SWEEP 开始输出设定好的扫瞄电压或电流
(9) DIGITS 改变量测显示数字
(10) SPEED 改变量测速度及精准度
(11) STORE 设定记忆数量并开始储存
(12) RECALL 显示储存的量测数值
(13) CONFIG 设定 (加上其它按键,如 CONFIG + SWEEP 可设定扫瞄输出)
(14) MENU 进入可储存设定值,更改通讯方式(IEEE-488 or RS232),或校正
(15) EXIT 跳出 (16) ENTER 确认
RANGE:范围选择
(1) ▲ 更改为较大的范围
(2) ▼ 更改为较小的范围
(3) AUTO 自动切换至最佳范围
OUTPUT:
(1) ON/OFF 开启/取消电源输出
操作入门
A.输出电压,量测电流
1.接线如图 3-1。
2.按 SOURCE V ,设定输出电压(由”EDIT” 左、右键来更改光标位置,并经由 ”SOURCE” ▲ , ▼ 及各数字键来设定数值)。
3.按 MEAS I(量测电流)。
4.按 OUTPUT ON/OFF 输出。(灯亮代表输出) ※若单纯量测电流,可将电压设为 0V 做电流表用。
5.自面板读取量测值

B.输出电流,量测电压
1. 接线如图 3-1。
2.按 SOURCE I ,设定输出电流(由”EDIT” 左、右键来更改光标位置,并经由 ”SOURCE” ▲ , ▼ 及各数字键来设定数值)
3.按 MEAS V(量测电压)
4.按 OUTPUT ON/OFF 输出。(灯亮代表输出)
※若单纯量测电压,可将电流设为 0A 做电压表用。
5.自面板读取量测值。
C.量测电阻
1.做两线式量测接线如图 3-1;若做四线式量测接线如图 3-2。
2.先按「CONFIG」再按「Ω」,做电阻量测设定,进入「SENSE-MODE」,选择两线式量 测或四线式量测。
3.按 SOURCE I。
4.按 MEAS Ω。
5.按 OUTPUT ON/OFF 输出电源。
6.自面板读取量测值

C.量测功率
1. 接线如图 3-1。
2.先按「CONFIG」,然后按「FCTN」,选择「POWER」然后按「ENTER」
3.按 SOURCE I 或 V。
4.按 MEAS 「FCTN」。
5.按 OUTPUT ON/OFF 输出电源。
6.自面板读取量测值。
补偿电阻(Offset Compensated Ω)
1. 接线如图 3-1。
2.先按「CONFIG」,然后按「FCTN」,选择「OFF-COMP-OHMS」然后按「ENTER」。
3.设定 I1,I2。
4.按 SOURCE I。
5 按「FCTN」。
6.按 OUTPUT ON/OFF 输出电源。
7.自面板读取量测值。
D.量测变阻器α值(Varistor α)

1.接线如图 3-1。
2.先按「CONFIG」,然后按「FCTN」,选择「VAR-ALPHA」然后按「ENTER」。
3. 设定 I1,I2。
4.按 SOURCE I。
5.按「FCTN」。
6.按 OUTPUT ON/OFF 输出电源。
7.自面板读取量测值